★ 熱の計算: 放熱

 数値または計算式を入力してから、[計算実行]をクリックしてください。

 物体表面の放射率と、その雰囲気中の物体の放射率を同じとして計算しています。
 σ = 5.67051×10-8 (Stefan-Boltzman 定数)
 静止大気中では、対流熱伝達率は5~10[W/m2 K]程度です。風速・形状などにより、90[W/m2 K]程度まで大きくなります。

物体表面からの熱損失

物体の表面積A: m2
物体表面の放射率B:
  外気への対流熱伝達率C: W/m2
物体表面の温度D:
雰囲気の温度E:
対流熱損失F: W
放射熱損失G: W
熱損失計H: W

 表面積A[m2]、温度D[℃]で、表面の放射率Bの物体が、E[℃]の雰囲気中に置かれているとき、対流による熱損失はF[W]、放射による熱損失はG[W]です。


断熱された平板からの放熱

物体の表面積A: m2
物体の温度B:
外気の温度C:
断熱材の厚さD: m
断熱材の熱伝導率E: W/m K
表面の放射率F:
  外気への対流熱伝達率J: W/m2
表面の温度G:
対流放熱量K: W
放射放熱量L: W
放熱量計H: W

 表面積A[m2]、温度B[℃]の平板が、厚さD[m]、熱伝導率E[W/mK]の断熱材で保温されているとき、 温度C[℃]の大気への放熱は、H[W]です。

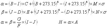
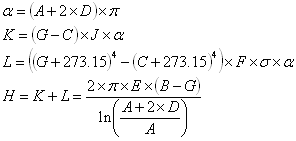
 α:単位面積当りの対流放熱量。β:単位面積当りの放射放熱量。α+βが、断熱材を通過する熱量と等しくなる表面温度Gを、プログラムで求めている。

断熱された円筒からの放熱 (円筒長さ1m当り)

円筒の外径A: m
円筒の温度B:
外気の温度C:
断熱材の厚さD: m
断熱材の熱伝導率E: W/m K
表面の放射率F:
  外気への対流熱伝達率J: W/m2
表面の温度G:
対流放熱量K: W/m
放射放熱量L: W/m
放熱量計H: W/m

 外径A[m]、温度B[℃]の円筒物体が、厚さD[m]、熱伝導率E[W/mK]の断熱材で保温されているとき、 温度C[℃]の大気への放熱は、円筒長さ1m当りH[W/m]です。

 α:1m当りの表面積。K:1m当りの対流放熱量。L:1m当りの放射放熱量。K+Lが、断熱材を通過する熱量と等しくなる 表面温度Gを、プログラムで求めている。

熱通過

熱通過する面積A: m2
 高 
 温 
 側 
温度B:
  表面の放射率M:
対流熱伝達率C: W/m2
 低 
 温 
 側 
温度D:
表面の放射率N:
対流熱伝達率E: W/m2 K
壁の厚さF: m
壁の熱伝導率G: W/m K
高温側壁の温度I:
低温側壁の温度J:
熱通過量H: W

 温度Bの高温気体と、温度Dの低温気体が、壁で仕切られている時の熱通過量です。

 α:高温側の壁に伝わる単位面積当りの熱量。β:低温側の壁からの単位面積当りの放熱量。α+βが、壁を通過する 熱量と等しくなる表面温度IとJを、プログラムで求めている。

八光電機のヒーターはこちら